火箭是怎么飞到目的地的:生活化描述
动力、结构、控制,是运载火箭最重要的三个系统。其中动力、结构看得着,摸得着,一说就能明白,入门较易;而控制系统更多涉及公式、参数、软件,看不见摸不着,不直观,而且教科书上一上来就是公式,较难理解,入门不易。
什么是GNC
怎么控制火箭飞行?三个字母:GNC,分别为guidance(制导)、navigation(导航)、control(控制),有时候我们还说trajectory(弹道,或轨道、轨迹)。
与开车类比,车跑在高速上,事先规划好走的路线是弹道;导航是随时知道车开到什么地方了;制导的作用是确保按既定路线行驶,在错过路口时把车纠回来或实时规划出新的路线。制导是怎么实现的呢?靠打方向盘。驾驶员看着路、听着导航信息、打着方向盘,把车开到目的地的整个过程,就是开车去目的地的控制。
为什么需要GNC
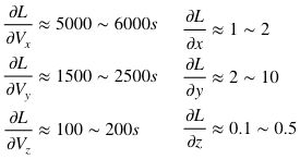
各种偏差下,真实弹道都是标准弹道下的扰动,导弹、卫星怎么才能打得准呢?拿导弹举例比较简单,对于射程10000km的导弹,在关机点大约有:

即x方向速度误差1m/s,不到x方向速度的1‰,最终落点偏差就有5~6km。在结构和发动机设计中,一般1%都是一个绝对可以接受的误差,而在飞行控制中,1‰甚至0.1‰都是不可接受的。为实现高精度,就必须靠闭环控制,也就是GNC。
如阿瑟.L.格林雪特在《飞行控制系统的分析与设计》中所述,目前所用的航天器稳定性及控制分析的方法,是由Lanchester和Bryan在20世纪初在飞行和滑翔机所用方法的推广,虽然存在数学方程的解能帮助设计制导系统,但这些方程非常难解。用在火箭上更为复杂,它必须适应推进剂燃烧时火箭重量和质心的变化,以及在大气层不同高度时空气动力学特性的变化。1937年在A-3火箭上试验表明,此时的制导系统连微风都不能应付,后来的工作表明问题比任何人所想到的要难得多,冯.布劳恩为此建立了他自己的制导实验室,甚至研制了一枚完全新型的A-5火箭,主要测试试验系统。专门用于研究制导的火箭,也就只有在运载火箭早期才会有吧!
第一代火箭控制专家:在V-2飞行时,施图林格(Ernst Stuhlinger)应该已经到了佩内明德开展制导和控制系统设计工作。还记得玛丽·尤肯达修女的信吗?她问道:目前地球上还有这么多小孩子吃不上饭,美国为什么能舍得为远在火星的项目花费数十亿美元。那封广为流传的著名的回信《为什么要探索宇宙》就是这位施图林格写的,时任马歇尔太空飞行中心的科学副总监。
苏联最早从事控制系统(创始人?)的尼古拉·阿列克谢耶维奇·皮留金(Nikolay Alekseyevich Pilyugin)。网上没有搜索到他的资料,只搜索到皮留金科研生产联合体[Academician Pilyugin Center(NPO AP)],成立于1946年,主要研制火箭、导弹与飞船的惯性控制系统,包括捷联惯导系统(SINS)、机械平台式惯性导航系统(GINS)、捷联式惯性测量单元(SIMU)等,涉足自主控制系统、机器人系统与智能化机械技术,从事国家太空项目,如GLONASS导航卫星。同时还生产民用产品,如汽车诊断系统。
梁思礼,梁启超之子。火箭系统控制专家,中国导弹控制系统研制创始人之一。梁思礼曾领导和参加多种导弹、运载火箭控制系统的研制、试验。他对航天可靠性工程提出精辟论述,成为航天可靠性工程学的开创者和学科带头人之一、航天CAD的倡导者和奠基人。著名的“导弹的质量和可靠性首先是设计出来的,不是统计计算出来的;是生产出来的,不是检验出来的;是管理出来的,不是试验出来的”,就是梁思礼提出来的。
看来与搞发动机不同,一个格鲁什科,一个洛克达因公司,就有料让大家说半天。而搞控制的,不跨跨界,大多数人都不知道。
如何实现GNC之N
怎么导航呢?开车时靠GPS刷出位置,或根据路标认出位置。但这并不是火箭导航的方法,因为在火箭飞行中,GPS刷新率太慢了,还存在搜不到卫星、GPS被关掉的可能性,不够用。火箭导航首选惯性器件,GPS只是辅助方法。
在连姆-尼森主演的《飓风营救2》中,连姆-尼森被装在袋子中随车拉走(电影33min左右),这时候他边读秒边记住转向,希望依靠这些信息找到被关起来的位置。这是典型的惯性导航,即它是不依赖外部参考,仅仅依靠自身的加速度、角速度等,通过积分得到当前所在位置的导航方法。
可以想见的是,这种积分式方法,累积误差必然越来越大。电影中尽管他一直在默念,看起来很牛的样子,但在和女儿的电话中,连姆-尼森还是说不知道自己在哪(40min),最后让女儿扔了一颗手雷(43min),通过手机爆炸声和外部声音传播的时间差,对位置进行了定位。
作为一个专业找人并打架的影片,《飓风营救》系列电影中使用了太多的定位方法(带着这个观点看电影会很有趣),上述就是它在上述短短10min的影片中对两种导航方法进行了绝佳诠释:
靠惯性自主定位。在运载火箭中对应的是平台、惯组、速率陀螺等;
靠外界信息定位。在运载火箭中对应的是GPS、无线电、图像匹配等。
一张图片中的GNC

晚上客厅的电话响了,睡眼蒙眬,没有开灯,只依稀知道要穿过沙发去接电话,这个过程从GNC的角度怎么描述?
心中默念穿过沙发去接电话,这条设计好的线路,就是弹道;
到电视柜前转弯,这就是大家在看我国火箭发射时常听到的程序转弯几个字;
先转个弯,再走上一段,再转弯,就可以拿到电话。从0°转到90°,再转到0°,再转120°,这些不同时刻对应的度数就是弹道设计中的重要概念:程序角;
在需要拐弯的地方实施拐弯,确保在各种时刻按需要的度数前行,是制导,在达到电话时停止脚步,称为关机,也是制导;
摸黑走过去看不了时间,在这里步数是测量元件(脚步还是执行部件,这与火箭不同,火箭的执行部件是伺服机构和发动机),相当于火箭飞行中的平台、惯组等惯性器件;
上图中的人如果初始走的方向不对,再按那个程序角,就会撞到墙,或走到别的地方。正如蒙眼睛走路,走路前如果先转几圈,再走,走的方向就会有问题,从而无法走到目的地。惯性器件是积分式的,它不知道初值是什么,除非提前告诉它,这在火箭中称为瞄准。还记得2018年1月26日阿里安那次事故吗?原因说起来很绕口,咱业余人士其实只要说三个字:瞄歪了;
众所周知,用脚步度量没有那么准,总会差那么一步两步。就像人为什么会走不出沙漠?因为人的两个腿不一样长,最后会走出一个超级大圆而不是直线。测量中这就是惯性器件的工具误差。值得注意的是,这里由于脚步既是惯性器件又是执行机构,此处特指的是用脚步测量,而不是执行,不要产生误解。在《飓风营救2》中,连姆-尼森计算转向,原本转120°的分岔路口,他如果当成了90°,走到了另一个路口,也是工具误差;
书上说,带三根棍,让三条棍保持一条直线,人就能走出沙漠了,这相当于更高精度的惯性器件。据称,世上最高精度的惯性器件是和平卫士导弹所用的高级惯性基准球(AIRS),很贵很强大,很强大;
上图中,脚步走不准没关系,走到沙发摸一下修正,就能更容易地找到电话,这就是组合导航。像火箭飞行中用GPS修正惯性器件误差,最后会飞得更准;
在宇宙空间中飞行没有GPS怎么办?用恒星图像识别,或者用脉冲星定位。在室内没有GPS怎么辅助?电视剧《南方有乔木》中时樾点评即刻飞行,说你们居然解决了室内定位的问题,结果整部电视剧时樾都在翻时尚杂志加耍帅,也没说怎么解决的,工科男看完后表示没法忍。
后记
开车时路线有两大类,一是走什么高速,另外是哪条车道。当然可以不变车道走到黑,也可以变道,譬如躲障碍和超车。走哪条高速是一个很长周期的事情,不用时时刻刻调整,而躲障碍或超车等则需要时时刻刻注意力集中并调整,是短周期。
在火箭中进行了类似细分,一是由于参数的不确定性或干扰的随机性引起弹道的偏离,这是一个围绕理想弹道的振荡,是长周期运动;另一个是火箭绕自身轴的偏转,或称为姿态,它同样在干扰下存在振荡,这个振荡周期短,是短周期运动。这些,在GNC的框架中都属于G。
制导和姿控的区别,详见下篇《火箭是怎么飞到目的地的:物理描述》。
本文来自微信公众号:理念世界的影子(ID:spaceodyssey1968),作者:科技互联网
相关推荐
火箭是怎么飞到目的地的:生活化描述
纽约飞到东京只需半个小时,马斯克的不锈钢飞船你敢坐吗?
欧洲阿丽亚娜猛追SpaceX,研发火箭回收再发射
二手火箭发射二手飞船,SpaceX将四名宇航员送上太空
送你一发火箭,你会用来......| 潮科技有奖问答评论精选⑱
SpaceX 火箭的火星探索,动力藏在全球最大的氢气工厂里
台湾航天究竟什么水平?火箭项目是怎么凉的?
马斯克与贝索斯,谁会先飞到火星?
辞职专心造火箭,贝佐斯能追上马斯克吗?
中国火箭最需要的专业技术是什么?
网址: 火箭是怎么飞到目的地的:生活化描述 http://www.xishuta.com/newsview115458.html
推荐科技快讯
- 1问界商标转让释放信号:赛力斯 95792
- 2报告:抖音海外版下载量突破1 25736
- 3人类唯一的出路:变成人工智能 25175
- 4人类唯一的出路: 变成人工智 24611
- 5移动办公如何高效?谷歌研究了 24309
- 6华为 nova14深度评测: 13155
- 7滴滴出行被投诉价格操纵,网约 11888
- 82023年起,银行存取款迎来 10774
- 9五一来了,大数据杀熟又想来, 9794
- 10手机中存在一个监听开关,你关 9519
