头脑风暴没有用?是因为搞错了几个关键的环节
一、群体智慧还是乌合之众?
“头脑风暴”是一种非常特殊的会议。
一般的会议,讲究目标明确,议程清晰,效率至上。而“头脑风暴”会就不一样了,它不解决问题,反而创造大量新问题;它不关心现有方案,而更关注从未出现的新点子。所以,“头脑风暴”是创意会议常用的形式。
比如说,写诗是一件很个人化的事,但古代却有一种写诗的形式叫“联句”,大家你一句、我一句,共同完成一首长诗,这种诗结构散乱,但追求的正是偶尔碰撞出的佳句的启发。
简单说,“头脑风暴”就是要在短时间产生大量不靠谱的想法,只要能逼出一个有新意的想法,就是大功告成。
但实际工作中,成功的“头脑风暴会”很少,主要有两个原因:
1. 很多任务不适合“头脑风暴会”。
2. 会议的流程设计与控制问题。
“头脑风暴”的核心是群体智慧,以前,关于群体心理,主流的看法偏负面,名作《乌合之众》认为,群体的心态总是会趋向于极端,人一旦进入群体就会丧失理智,盲目地跟随群体潮流。所以很多人在思考复杂问题时,都习惯一个人避开集体。
但诺贝尔经济学奖获得者丹尼尔·卡尼曼对群体智慧有不同的看法,最有名的例子是在《思考,快与慢》中的一个案例:
1906年,统计学家高尔顿来到一个集市,有人杀了一头牛,围观的人可以每人花一点钱猜这头牛的重量,最后离准确值最近的人,可以获得全部牛肉。
高尔顿的职业病起来了,他找到了全部787个人的答案,进行了统计,虽然大家猜的重量差距很大,但所有答案的平均值1197磅与实际重量1198磅,相差不到0.1%。
并不是群体一定会降智,而是群体智慧只在特定领域的讨论中有效,所以想要开好“头脑风暴会”,就需要知道群体智慧的适用范围。
所以我把头脑风暴也作为“99种思维模型”之一。
二、多样性红利
密歇根大学政治学教授斯科特林奇从丹尼尔·卡尼曼的这个例子出发,写了一本名为《多样性红利》的书,书中指出,在“需要创造力的新问题”和“预测复杂现象”这两个领域内,群体的智慧总是大于精英的个人智慧,就是“三个臭皮匠赛过诸葛亮”的现代科学版。
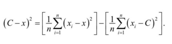
作者还总结出一个“多样性公式”,以称牛重量为例,其中C代表群体预测的平均值,X代表实际数据,Xi代表每一个人的看法。

具体推导过程我就不说了,只说说这个公式的意义:
等式的左半部分代表群体最终预测的结果与实际值的方差(即,差的平方),这个值代表“群体预测能力”,方差越小,代表群体智慧越强。
等式的右半部分是一个减式,被减数表示每一个人预测结果与实际值的方差,这个值代表个体的平均预测能力;减数表示每一个人的预测结果与群体预测数的方差,即多样性——个人与群体的差异。数字越大,代表个体与群体的差异越大,多样性越强。
这个公式的结论有两个:
第一,群体的预测能力总是大于个人的预测能力的平均值。
第二,群体多样性程度越高,群体的预测能力越强,这就是“多样性红利”。
书中有一个很形象的案例,1999年,活动方在网上征集了5万名普通的国际象棋爱好者,与当时的国际象棋世界冠军卡斯帕罗夫对弈,规则有点特殊,每走一步都要让这5万业余爱好者在网上充分讨论,最后投票表决,最长不超过48小时,最后,群体虽然还是输了,但顽强地走了62步,这在国际象棋中算是水平接近了。
5万业余爱好者的平均水平并不高,所以主要是“多样化”在这类解决复杂问题中起的作用。
当然,这场比赛的规则也是比较重要的,留了48个小时,让大家可以充分讨论。如果只是简单的思考后就直接投票,结果未必有多好,而这种网络讨论的机制,非常接近于“头脑风暴”。
《多样化红利》一书认为,群体智慧最适合用来解决三类问题:
1. 复杂现象的预测与决策
类似股票市场的预测,结果与多个因素相关,又与大部分人的行为有关,而且每一个人都有自己的能力圈和分析框架,在这一类问题上,头脑风暴的群体智慧比个人智慧更高。
2. 需要强创新的想法与方案
大部分的创新都是依托现有的技术和方法进行出其不意的演绎,创新的方向具有不确定性,既不能漫无边际,又不能因循守旧,比如产品与技术创新、广告设计、艺术创作、媒体选题,等等,这一类问题同样适合头脑风暴下的集体智慧。
3. 聚焦集体共识
前两类的决策都是个人化的,头脑风暴只是提供群体智慧的引导,而第三类任务是在人人都有自己的想法时,群体又需要凝聚一个共识,想要避免上面做出决策后强制执行,就可以通过头脑风暴,让大家对最终执行的方向有更清晰的认识。
三、头脑风暴的四大机制
头脑风暴的流程不一,大体上包括两或三个部分:
第一部分:与会的每一个人都按顺序提出自己的看法。
第二部分:与会者可以就他人的观点进行讨论。
如果是上面的第三类任务“聚焦集体共识”,还有“第三部分”——得到最后的结论。
看似灵活,但如果具体流程设计不合理,就会影响头脑风暴的效果,“头脑风暴”的发明者亚历克斯·奥斯本曾总结出它的四大机制:
1. 联想反应
而一场头脑风暴,要的是发散思维,发散就需要人人参与,想要人人参与,开头就不能太高,主持人要是来一句:“今天我们是要寻找最创新、最合理、成本最低的解决方案”,大家就都不敢说话了。
所以在“头脑风暴”的轮流发言阶段,开始出现的想法往往都是大路货,毕竟思路没有打开,而且人人都要发言,难免良莠不齐。
大路货有大路货的好处,可以激发大家的想像力。每一个人都从自己最习惯的思路开始,思路跨度必然很大,如果是一个人就做不到。
奥斯本称之为“头脑风暴”的第一个创造力机制:联想反应。
“头脑风暴”的集体讨论中,一个平常的想法可以激发出下一个人的诡异角度,而一个不靠谱的Idea,下一个人往回收一点,就变成一个不错的想法。
“头脑风暴”追求的是连锁反应,不怕不靠谱,就怕不说话。所以第一阶段,强调的是人人发言。
2. 热情传染
一场群策群力的“头脑风暴”常常会忽然陷入僵局?社会学名著《乌合之众》里有一句话,非常精辟到位:“人一到群体中,智商就严重降低,为了获得认同,个体愿意抛弃是非,用智商去换取那份让人备感安全的归属感。”
“枪打出头鸟”“懒得多想”“就顺着别人的思路想吧”……这些心态,造成了大部分群体讨论比个人创作要平庸,光靠第一阶段的轮流发言,并不能打破这种“从众心理”,必须要找到敢于挑头的关键角色。
一人一句的暖场,让大家都开始进入状态,热情积累到一定的程度,那些能力强、想法多的人就不想受规则的束缚了,一旦突发了一个好想法,就忍不住要“抢戏”。
这就是奥斯本总结的“头脑风暴”的第二个创造力机制:热情感染。
3. 竞争意识
打破僵局的人。可如果只有一个人冲在前面,场面热闹几下,很可能又重新冷下来。这时,就要让“头脑风暴”的第三大机制“竞争意识”发挥作用:
竞争是要靠实力的,“头脑风暴”并不完全是群策群力,二八定律依然有效,最大的贡献永远只属于少数人。但这少数人的贡献又常常有表演性质,如果有人接二连三地提出想法后,就会激发其他同样有想法的人的竞争意识。
4. 延迟评价
规则已经完全被打破了,每个人的大脑都在高速运转,谁想到好想法,脱口就说,不用按规则发言。
但是,最核心的那个原则却始终牢牢被主持人控制着,这也是头脑风暴创造力的第四大机制——延迟评价。
头脑风暴的形式可以多样化,但前两部分提想法和评价阶段必须分开。
“延迟评价”是说,只提新想法,或者延着他人的思路往下说,本阶段不对他人的想法做任何负面评价。
“如果你觉得我的想法不好,请说出一个更好的想法,而不是告诉我为什么不好。”这个原则对于“头脑风暴”而言至关重要,否则,头脑风暴就会演变成一般意义上的讨论会。
另一种情况,很多决策者在听到一个好创意后,也喜欢停下来讨论,过早地陷入某个想法,主持人需要控制这种情况的出现,因为头脑风暴往往是越到后面越精彩。
四、几点补充
“头脑风暴”是要有结果的,除了上面的四大机制外,流程上还有几点补充:
1. 前期准备
“头脑风暴”的所有参与者,事先都要对项目背景有所了解,第一轮的想法要事先准备好。
2. 对参与者有一定的要求
(1)群体讨论的参与者应该具备一定的能力。
(2)群体每一个人最好是观点有相当的差异性。
3. 主持人最关键
主持人只主持,不参与讨论,另一个作用是在大家开始无边无际地扯蛋时,把话题拉回来;另设记录员一人,所有想法,不管多么不靠谱,都要记录在案。
创新能力越强的人,越需要“头脑风暴”把想法逼出来,但前提是方法正确,毕竟从乌合之众到智慧群体只有一步之遥。
本文来自微信公众号:人神共奋 (ID:tongyipaocha),作者:人神共奋
相关推荐
大模型AI掀商业银行“头脑风暴” 人工智能能否重塑银行核心竞争力?
申通:京东搞错了,阿里巴巴还不是我们的大股东
对于传媒行业,风投搞错了什么?
细化咨询每一个环节,「三士渡」打造标准化、个性化留学咨询服务
学习机有没有用,关键看家长用在哪里,但学习手机多半是智商税……
创业后,我是如何提升公司效率的?
医药反腐“风暴眼”:灰色链条是如何形成的?
董明珠市值4亿元股份被冻结?格力电器回应:搞错了
“我做事没有定性,该怎样找到真正热爱的事情?”
风暴中心,作业帮的跃迁之战
网址: 头脑风暴没有用?是因为搞错了几个关键的环节 http://www.xishuta.com/newsview91237.html
推荐科技快讯
- 1问界商标转让释放信号:赛力斯 95792
- 2报告:抖音海外版下载量突破1 25736
- 3人类唯一的出路:变成人工智能 25175
- 4人类唯一的出路: 变成人工智 24611
- 5移动办公如何高效?谷歌研究了 24309
- 6华为 nova14深度评测: 13155
- 7滴滴出行被投诉价格操纵,网约 11888
- 82023年起,银行存取款迎来 10774
- 9五一来了,大数据杀熟又想来, 9794
- 10手机中存在一个监听开关,你关 9519
